Menu
Submit your Research
Journals
Cureus for you
Channels
Blogs

Sign In
Create an Account


Guidelines for writing equations on Cureus Journals platform


1. Preparation

Before you start writing equations, ensure you have a clear understanding of the mathematical concepts you wish to convey. Familiarize yourself with the LaTeX typesetting system, as it is commonly used for writing equations in academic journals.

2. Embedding LaTeX in Your Manuscript:

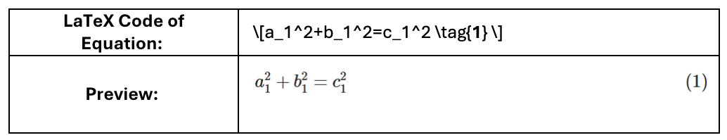
  1. For inserting equations with equation number:

    Include your LaTeX code directly where you want the equation to appear:

    Syntax: $$ Latex Equation Code tag{Equation Number} $$

    For Example: $$a_1^2 + b_1^2 = c_1^2 \tag{1}$$

    Preview Mode:

  2. For inserting inline equations:

    Syntax: \( Latex Equation Code )

    For Example:

    The formula for the Pythagoras Theorem is: \(a_1^2 + b_1^2 = c_1^2\)

    Preview Mode:

  3. Superscript and subscript for inline equations:

    For Example:

    (\small x^{y^z}\) or \(\small x_{y_z}\)

    Preview Mode:

  4. For inserting inline equations using equation editor:

    Sept 1: Select the position in the manuscript where you want to place the equation.

    Step 2: Click on the fx option present in the taskbar menu (shown below)

    Step 3: Insert the equation using the display panel provided to add different formats of mathematical equations.


    Step 4: Confirm the equation in the preview.

    Step 5: Click on the OK button.

    The equation code in the manuscript should look like:

    Click on the 'Preview' button. The equation will appear as shown below: